监督学习¶
机器学习是联结主义象征的一大学习方法:就是从数据中学习知识
- 监督学习:数据有标签,一般为回归或者分类任务
- 无监督学习:数据无标签,一般为聚类或者若干降维任务
- 强化学习:序列数据决策学习,一般为与从环境交互中学习
标注数据:学什么 学习模型:如何学习 损失函数:对学习成果度量
机器学习基本概念¶
损失函数¶

不同任务选取的损失函数不同。
经验风险、期望风险¶

我们的映射函数训练的目标:期望风险最小化
判别模型和生成模型¶
?我没明白生成模型的概念。
回归分析¶
请记住一元线性回归的优化结果的解析解(很大概率考察):
? 在多元线性回归中,为什么要求对每一个数据\(x_i\)扩展一个维度
LDA¶
自己和自己的协方差就是方差,自己和别人的协方差就是标准协方差。
其实我们从LDA的目标可以直接构造出来我们想要优化的对象函数。
我们首先描述类内方差:(以二分类问题为例)
注意,\(\Sigma_i = \sum_{x \in X_i} (\mathbf{x} - \mathbf{m_i})(\mathbf{x} - \mathbf{m_i})^T\),其中\(\mathbf{m_i}\)是第\(i\)类的均值向量。
我们其次描述的是类间方差:
然后我们描述一个用来优化的目标函数,因为我们的目标是使得类内方差变小,类间方差变大,所以我们可以想到下面这个形式的函数,并且我们的目标就可以很单一 - 使得\(J(w)\)在\(w\)意义下最大:
因为我们最后的解只与\(w\)的方向有关,与\(w\)的大小无关,于是我们可以令\(w^TS_ww = 1\),然后我们把这个转换为拉格朗日极值问题:
然后因为对于是二分类的问题,我们根据求导的结果: (因为和\(w\)的大小无关,所以\((m_2-m_1)^Tw\)可以被认为是常数,然后约去)
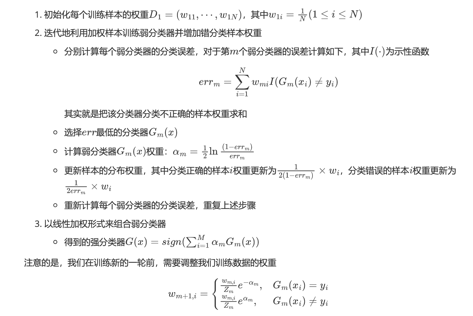
Ada Boost¶
强可学习和弱可学习是等价的,也就是说,如果已经发现了“弱学习算法”,可将其提升(boosting)为“强学习算法”
AdaBoosting将一系列弱分类器组合起来,构成一个强分类器。
- 越难分的样本权重越大
- 越好的弱分类器权重越大
AdaBoosting算法的整体思路:
初始化训练样本权重 -> 计算每个训练器的err并且挑选最小err的训练器 -> 使用最小err的训练器计算该训练器的权重\(\alpha_m\)并使用它更新所有样本的权重 -> 继续迭代
